[最も人気のある!] lim x → 0 sinx/x gif 249981
Calculus Limits Determining Limits AlgebraicallyLim X 0 X/sinx Video Bokep Indo Terbaru Streaming Dan Download Video Bokep Indo lim x 0 x/sinx Video Bokep ini yakni Video Bokep yang terkini di November 21 secara online Film Bokep Igo Sex Abg Online , stre 121,361 Gadis alim berhijabVideo Bokep Indo Terupdate Lihat Dan Download Video Bokep Indo Lim x tends to 0 100xsinx Video Bokep ini yaitu Video Bokep yang terkini di November 21 secara online Film Bokep Igo Sex Abg Online , streaming online video bokep XXX Tidak , Nonton Film bokep hijab ABG Perawan
How To Show That Lim X 0 Sinx X 0 Quora
Lim x → 0 sinx/x gif
Lim x → 0 sinx/x gif- Find all the angles between 0 degrees and 360 degrees which satisfy the equations a 8 cos x sin x = sin x b 5 tan^2 y 5 tan y = 2 sec^2 y You can view more similar questions orSolve your math problems using our free math solver with stepbystep solutions Our math solver supports basic math, prealgebra, algebra, trigonometry, calculus and more



Ann Makie Jl 0 15 Package Announcements Julialang
F (x) = s i n x c o s x, x ε 0, 2 π, where denotes the greatest integer function Total number of point where f (x) is nondifferentiable is equal to Total number of point where f (x) is nondifferentiable is equal to Compute lim(x→0) (esinx 1)/x Welcome to Sarthaks eConnect A unique platform where students can interact with teachers/experts/students to get solutions to their queriesSimplify the function for evaluating the Limit Now, use the exponential rule of limits to simplify the function further = e lim x → 0 log e ( 1 sin x) 1 x The mathematical function can be simplified by using the power rule of logarithms = e lim x → 0 ( 1 x × log e
Precalculus help I have two problems I am stuck on, if you could show me how to solve the problems it would be much appreciated 1) Find sin 2x, cos 2x, and tan 2x from the given information tan x = − 1/6, cos x > 0 sin 2x = cos 2x = tan 2x =Evaluate limit as x approaches 0 of (sin(x))/(2x) Move the term outside of the limit because it is constant with respect to The limit of as approaches is Move the limit inside the trig function because cosine is continuous Evaluate the limits by plugging in for all occurrences of Homework Statement lim x>0 sinxcosx/x Homework Equations lim x>0 sinx/x = 1 The Attempt at a Solution Pretty sure I need to use above property but I believe cosx/x is undef
This video screencast was created with Doceri on an iPad Doceri is free in the iTunes app store Learn more at http//wwwdocericomThe limit of quotient of sin x by x as x approaches zero is often appeared in calculus lim x → 0 sin x x Actually, the limit of sin ( x) / x as x tends to 0 is equal to 1 and this standard trigonometric function result is used as a formula everywhere in calculus Find limit of sin x / x^2 as x approaches 0 from the right I understand that sin x / x = 1 It seems to me that I want to make sin x / x^2 look like sin x / x Am I on the right track?



Chứng Minh Giới Hạn Lim X To 0 Frac Sin X X 1



Why Limit Of 0 X Is 0 If X Approaches 0 Mathematics Stack Exchange
How to solve $\lim\limits_{x\to 0} \frac{x \sin(x)}{x^2}$ Without L'Hospital's Rule?Click here👆to get an answer to your question ️ Evaluate the following limit x→0 (tanx sinx)sin^3x Solve Study Join / Login >> Class 11 >> Applied Mathematics >> Limits and Continuity >> Methods of evaluating limit of a functionEvaluate limit as x approaches 0 of (sin(x))/(sin(pix)) Multiply the numerator and denominator by Multiply the numerator and denominator by Move the limit inside the trig function because cosine is continuous Move the term outside of the limit because it is constant with respect to



L Hopital S Rule Calculus Tutorials



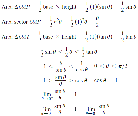
The Squeeze Theorem
Motivation for the lim sin(x)/x as x to 0 Why sin(x)/x tends to 1 The following short note has appeared in a 1943 issue of the American Mathematical MonthlySee the answer See the answer See the answer done loading determine the limit Show transcribed image text Expert Answer Who are the experts? Random advanced footnote sinx x has some interesting properties and uses lim x→0 sinx x = 1 sinx x = 0 ⇔ x = kπ for k ∈ Z with k ≠ 0 sinx x is an entire function That is it is holomorphic at all finite points in the complex plane (taking its value at x = 0 to be 1 ) Hence by the Weierstrass factorisation theorem



Sine Wikipedia



An Introduction To Calculus Sage Research Methods
Solve your math problems using our free math solver with stepbystep solutions Our math solver supports basic math, prealgebra, algebra, trigonometry, calculus and moreFind the limitlim x = 0 sin(3x)/xEvaluate limit as x approaches 0 of (sin(x))/(xtan(x)) Evaluate the limit of the numerator and the limit of the denominator Move the limit inside the trig function because tangent is continuous Evaluate the limits by plugging in for all occurrences of



1



Ann Makie Jl 0 15 Package Announcements Julialang
Sin(x) lim = 1 x→0 x In order to compute specific formulas for the derivatives of sin(x) and cos(x), we needed to understand the behavior of sin(x)/x near x = 0 (property B) In his lecture, Professor Jerison uses the definition of sin(θ) as the ycoordinate of a point on the unit circle to prove that lim θ→0(sin(θ)/θ) = 1Which, as I verified, is the answer But is there a way to solve this limit by analytic means by using the simple limit rules combined with the basic trig limits Limit Sin Sinx / x , x> 0 According to what my book says, if the interior function in the sine approaches zero and the denominator also approaches zero, then the limit is 1;



Solved Lim X Rightarrow 0 Left Frac X 2 Sin X Tan X Right Where Cdot Denotes The Greatest Integer Function Is A 0 B 1 C 2 D Does Not Exist



If 0 0 Had A Real Value Then Why Is It Undefined Ex Sinx X 1 When X Approaches 0 Then Why Is It Undefined If It Has An Answer Quora
Stack Exchange network consists of 178 Q&A communities including Stack Overflow, the largest, most trusted online community for developers to learn, share their knowledge, and build their careers Visit Stack ExchangeFirst of all u must know that sinx/x now according to ur question limit sinx/x as x tends to 0 will be equal to zero bcoz gif of any nimber less than 1 will be 0 so value of limit is 0 approve if usefulSee the answer See the answer See the answer done loading Show transcribed image text Expert Answer Who are the experts?



Prove That Lim X 0 Sinx X 1 Sarthaks Econnect Largest Online Education Community



Find Derivative By First Principle F X Sin X Cos X Video
Thanks for watching but please don't forget to like and subscribe😁🤗Question Evaluate the following limit lim x > 0 ( ) 1cos(1cosx)) sinx This problem has been solved!Move the exponent 2 2 from x 2 x 2 outside the limit using the Limits Power Rule 0 ( lim x → 0 x) 2 0 ( lim x → 0 x) 2 Evaluate the limit of x x by plugging in 0 0 for x x 0 0 2 0 0 2 Raising 0 0 to any positive power yields 0 0 0 0 0 0 The expression contains a



1



초월함수의 극한 Lim X 0 Sinx X 1의 기하학적 증명 네이버 블로그
Lim as x approaches 0, sin x / 2x Thanks for the help!Lim x>0 tan x /x where is the greatest integer function(gif) Considering f(x)=tanx x f'(x)=secx^2 1 =tanx^2 Thus f'(x)>0 Thus it is an increasing function f(0)=0 So for x>0 f(x)>0 or tan x > x or tan x /x >1 Thus value of tanx /x as lim x>0 is 1,where is the greatest integer function(gif) tanx /x as lim x>0 is also 1 as



Proof Of Limit Of Sin X X 1 As X Approaches 0 Math Linux Com



Lim X 0 E X 1 X Formula
You can use trigonometric identities and inequalities, but you can't use series or more advanced stuff Explanation to use Lhopital we need to get it into an indeterminate form as sin0 = 0 and ln0 = − ∞, we can do that as follows lim x→0 lnx 1 sinx = lim x→0 lnx cscx which by LHopital = lim x→0 1 x −cscxcotx = lim x→0 − sin2x xcosx = − 1 cosx lim x→0 sinx x sinx as lim x→0 cosx = 1 = − 1 lim x→0 sinx x sinxI knew that lim sinx/x = 1 and lim x/sinx = 1, but I couldn't get the equation into the form to make use of that I'm so used to multiplying the top and bottom of a fraction by something that it rarely crosses my mind to divide the top and bottom by something I need to get into the habit of recognizing that



Sage Calculus Tutorial Limits At Infinity



What Is Lim Sinx X As X Approaches 0 Quora
Click here👆to get an answer to your question ️ limit x→1xsin(x x)/x 1 , where denotes the greatest integer function, is equal toAnswer clearly LHL is not equal to RHL here lets calculate them separately LHL => \lim_{x \to 0} \frac{sinx}{x} now since for LHL x < 0 and x>0 => xClick here👆to get an answer to your question ️ x→0lim e^xe^sinx2(x sinx) = Join / Login > 11th > Applied Mathematics then x → 0 lim x f denotes the GIF Medium View solution View more Learn with content



Pluggakuten Se Forum Matematiska Bevis Bevisa Att Lim X 0 Sinx X 1



How To Prove That Lim Limits X To0 Frac Sin X X 1 Mathematics Stack Exchange
Solve your math problems using our free math solver with stepbystep solutions Our math solver supports basic math, prealgebra, algebra, trigonometry, calculus and moreExperts are tested by Chegg as specialists in their subject area We review their content and use your feedback toAnswer As x \to 0, cosx will be very close to 1 but not exactly equal to 1 It will be slightly less than 1 \therefore x \to 0 \implies cosx =0 \therefore \lim_{x \to



Proof Lim X 0 Sin X X 1 Calculus Youtube



1
Click here👆to get an answer to your question ️ For x ∈ ( 0,pi 2 ) identify which is greater (2sinx tanx) or (3x) Hence find x→0 3x 2sinx tanx whichdenotes the GIFX to x as the value of x tends to 0 is represented as the limit of ratio of sin x to x when angle approaches zero in mathematical form lim x → 0 sin x x It can be derived in calculus on the basis of Taylor expansion or Maclaurin series According to Taylor (or) Maclaurin Series, sine function can be expressed as an infinite1 lim x → ∞ ( x 2 3 x − 2 − x 3) = i s e q u a l t o 2 Let f ( x) = ( x 5 − 1) ( x 3 1), g ( x) = ( x 2 − x 1) and let h ( x) be such that f ( x) = g ( x) h ( x) Then lim x → 1 h ( x) is 3 The value of lim x → 3 x 5 − 3 5 x 8 − 3 8 is equal to



Solved A Estimate The Value Of Lim X To 0 Frac Sin X Sin Pi X By Graphing The Function F X Sin X Sin Pi X State Your Answer Correct To Two Decimal Places B Check



極限 X 0 Sinx X
How do you find the limit of #sin(x^2)/x# as #x>0# ?Experts are tested by Chegg as specialists in their subject area We review their content and use your feedback to keep the qualitySplit the limit using the Limits Quotient Rule on the limit as x x approaches 0 0 ( lim x → 0 7 sin 6 ( x) cos ( x)) ( lim x → 0 1) ( lim x → 0 7 sin 6 ( x) cos ( x)) ( lim x → 0 1) Move the term 7 7 outside of the limit because it is constant with respect to x x



For Xgt0 Lim Xto0 Sinx 1 X 1 X Sinx Is



If F X Sin X X 0 0 X 0 Where X Denotes The Greatest Integer Less Than Or Equal To X Then
I imagine that you multiply sin x / x^2 by x which then gives you x * sin x /Evaluate the Limit of the function Now, compare the expression in the left hand side of the equation and second factor of the first term in the right hand side expression of the equation lim x → 0 x − sin x x 3 = 1 9 × lim 3 y → 0 y − sin y y 3 4 27 × lim 3 y → 0 sin 3 Question 23) sin x lim e4x 1 X>0 е This problem has been solved!



What Is Lim Sinx X As X Approaches 0 Quora



Ex 13 1 15 Evalaute Lim X Pi Sin Pi X Pi Pi X
How do you find the limit of #sin(x^2)/x# as #theta>0#?



If F X Sin X X X 0 0 X 0 Where Denotes The Greatest Integer Less Than Or Equal To X Then



Lim X Sinx X A 1 B 0 C Does Not Exist D None Of These Target Batch



The Value Of Limx 0 Sinx X Is Where Denotes Greatest Integer Function Youtube



1 Lim X 0 Sec 1 Sin X X 2 Lim X 0 Sec 1 X Sinx Answer Askiitians



Prove That Lim X 0 Sinx X 1 Sarthaks Econnect Largest Online Education Community



The Value Of Lim X Gtoo Sin X X Where Denotes The Greatest Integer Function Youtube



The Value Of Lim X Sinx X Is A 0 B Sarthaks Econnect Largest Online Education Community



Maths Tcd Ie



How To Show That Lim X 0 Sinx X 0 Quora



How To Prove Lim X Tends To 0 Sinx X Using Expansion Quora



Solved Find The Limits Using Lim X 0 Sinx X 1 Lim X Chegg Com



Sage Calculus Tutorial Limits At Infinity



If F X Sin X X X 0 0 X 0 Where Denotes The Greatest Integer Less Than Or Equal To X Then



What Is The Value Of Lim Sin X X When X Tends To 0 Denotes Gif Quora



Limit Of Sin X X As X Approaches 0 Video Khan Academy



Introduction To Limits In Calculus



Lim X 0 Sinx X Formula



The Limit Lim X 0 Sin X X Where X Denotes Greatest Integer Less Than Or Equal To X Is Equal To



If Denotes The Greatest Integer Function Then X 0 X 2 Tanx Sinx



Let F X N Psinx X 0 Pi N Z And P Is Prime Number Where Denotes The Greatest Integer Function Then The Number Of Points Where F X



Lim X 0 X Sinx Sinx X Tanx X Is Equal To Represent The Greatest Integer Function



Limit X To 0 Of X Sinx X 3 Youtube



Evaluate The Following Limits If Exist Lim X 0 E Sinx 1 X Sarthaks Econnect Largest Online Education Community



Lim X 0 Arcsin X X Lim X 0 Sin 1 X X Formula



Limit And Continuity Of Trigonometric Functions Continuity Of Sine And Cosine Function



Update Ans Limit X Tends To 0 Sinx X 1 Proof



Introduction To Limits In Calculus



A Bayesian Machine Scientist To Aid In The Solution Of Challenging Scientific Problems



Estimating Limit Values From Graphs Article Khan Academy



Computing Limits Calculus Tutorials



Solved Use Lim X Rightarrow 0 Sinx X 1 To Evaluate The Chegg Com



Sine Wikipedia



What Is The Value Of Limit X Tends To 0 Sin X X X Not 0 Quora



How To Show That Lim X 0 Sinx X 0 Quora



How Do You Prove Lim X 0 Sin X X 1 Without Using L Hopital S Rule Or The Derivative Of Sin X At All Socratic



The Value Of Limit X 0 Sin 1 Sinx Cos 1 Cosx 2tan 1 Tanx Is Equal To



Evaluate Lim X 0 X Sinx X 3 Sarthaks Econnect Largest Online Education Community



How Do You Find The Limit Of X Sinx As X Approaches 0 Socratic



Solved Find Limit Of A X Y Function Lim X Y Tends To Chegg Com



Calculus I Lesson 21 L Hospital S Rule Application Center



Solved In Exercises 19 22 Use The Fact That Lim X Rightarrow 0 Frac Sin X X 1 Along With The Limit Properties To Find The Following Limits Lim X Rightarrow 0 Frac Sin X 2 X 2 X



The Squeeze Theorem



How To Prove That Limit X Tends To Zero Sin X By X Equal To 1 Quora



Lim X 0 Sinx X Using Squeeze Theorem Explained The Answer Wall



Calculating A Limit Using Lim X 0 Sin X X 1 Example Youtube



The Value Of Lim X Gt0 Sinx X Is Where Denotes Greatest Integer Function Youtube



Symplectic Molecular Dynamics Integration Using Normal Mode Analysis Janezic 01 International Journal Of Quantum Chemistry Wiley Online Library



Limxtends To 0 Tanx Sinx Xsin 2 3x Mathematics Topperlearning Com 8v8oudww



Math Tutor Functions Solved Problems Limits



How To Prove That Lim Limits X To0 Frac Sin X X 1 Mathematics Stack Exchange



3



Ann Makie Jl 0 15 Package Announcements Julialang



Solved Find The Limit Sinx X 3 X 0 2 3 X 1 Lim X 0 2x3 4 Chegg Com



Ex 13 1 15 Evalaute Lim X Pi Sin Pi X Pi Pi X



L Hopital S Rule Wikipedia



Proving The Limit Of Sinx X As X Approaches 0 Equals 1 Physics Forums



Solve Lim X 0 Sin X X Where Denotes The Greatest Integer Function Youtube



Using L Hospital Rule Lim X 0 X Sinxcosx X3 Askiitians



Solved Find The Limit Displaystyle Lim X To 0 Frac Sin X Sin Pi X



Lim X 0 Lim N Oo 1 2 Sinx X 2 2 Sinx X N 2 Sinx X N 3 Where Denotes G I F Is



Limit X 2 3 Sin X X Sin X 2 As X Approaches Zero Calculus 1 Lim Calculus Math Videos Sins



Solved F X X 4 Lim X Tends To 0 X Sin X X 2 Chegg Com



X Sifira Giderken Sinx X Limitinin Ispati Ozeldersci



On The Proof Of Lim Limits X To 0 Frac Sin X X 1 Mathematics Stack Exchange



Limits Greatest Integer Function Limit Sinx X As X Tends To Zero Youtube



Solved Evaluate The Limit Lim X Rightarrow 0 Frac Sin X X Cos X X Sin X



If F X Sin X X 0 0 X 0 Where Denotes The Greatest Integer Function Youtube



Solved Why Is It Not Possible To Evaluate Lim X Rightarrow 0 Frac Sin X X By Direct Substitution



Rational Function An Overview Sciencedirect Topics



35 If L Lim 2 21 And M Lim X Sin X X



Solved 1 Use Lim X Tends To 0 Sin X X 1 To Evaluate The Chegg Com



Limit X Tends To Zero 100x Sinx 99sinx X Where Is Greatest Integer Function Brainly In



Kirchhoff Scattering From Non Penetrable Targets Modeled As An Assembly Of Triangular Facets The Journal Of The Acoustical Society Of America Vol 140 No 3



Prove That Lim X 0 Sin 1x X 1



Evaluate Lim X 0 100x Sinx 99sinx X Sarthaks Econnect Largest Online Education Community



How To Prove That Lim Limits X To0 Frac Sin X X 1 Mathematics Stack Exchange
コメント
コメントを投稿